• Підручники
    • 1 клас
    • 2 клас
    • 3 клас
    • 4 клас
    • 5 клас
    • 6 клас
    • 7 клас
    • 8 клас
    • 9 клас
    • 10 клас
    • 11 клас
  • ГДЗ
    • 1 клас
    • 2 клас
    • 3 клас
    • 4 клас
    • 5 клас
    • 6 клас
    • 7 клас
    • 8 клас
    • 9 клас
    • 10 клас
    • 11 клас
  • ДПА
    • 4 клас
    • 9 клас
    • 11 клас
  • ЗНО
  • РЕФЕРАТИ
Підручники, відповіді до зошитів на телефоні, планшеті УкраїнаПідручники, ГДЗ, розв’язники
Instagram @4book_orgFacebookTelegramTikTok
  • Підручники
    • 1 клас
    • 2 клас
    • 3 клас
    • 4 клас
    • 5 клас
    • 6 клас
    • 7 клас
    • 8 клас
    • 9 клас
    • 10 клас
    • 11 клас
  • ГДЗ
    • 1 клас
    • 2 клас
    • 3 клас
    • 4 клас
    • 5 клас
    • 6 клас
    • 7 клас
    • 8 клас
    • 9 клас
    • 10 клас
    • 11 клас
  • ДПА
      4 клас9 клас11 клас
  • ЗНО
  • ТВОРИ
    • Англійська мова (English)
    • Біологія
    • Зарубіжна література
    • Українська література
    • Українська мова
    • Французька мова
    • Я у світі
Обери свій клас
  • 1
  • 2
  • 3
  • 4
  • 5
  • 6
  • 7
  • 8
  • 9
  • 10
  • 11
/
ГДЗ
/
8 клас
/
Математика
/
ГДЗ Математика 8 клас Істер (2025) - 1 ЧАСТИНА
/
10. Множення дробів - 11. Ділення дробів
Назад

ГДЗ Математика 8 клас Істер (2025) - 1 ЧАСТИНА

Тема 3. МНОЖЕННЯ ТА ДІЛЕННЯ ДРОБІВ
10. Множення дробів - 11. Ділення дробів
Назад до 10.18Вперед до 10.20
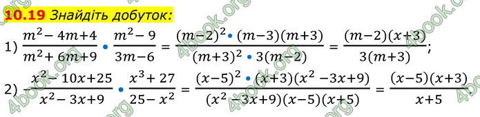
ЗменшитиЗавдання 10.19Збільшити
ГДЗ Математика 8 клас Істер (2025) - 1 ЧАСТИНА
Реклама:

Повідомити про помилку
10.1-10.2
10.3-10.4
10.5
10.6
10.7
10.8
10.9
10.10
10.11
10.12
10.13
10.14
10.15
10.16
10.17
10.18
10.19
10.20
10.21
10.22
10.23-10.24
10.25
10.26
10.27
10.28
10.29
10.30
10.31
10.32
10.33
11.1-11.2
11.3
11.4
11.5
11.6
11.7
11.8
11.9
11.10
11.11
11.12
11.13
11.14
11.15
11.16
11.17
11.18
11.19
11.20
11.21
11.22
11.23
11.24
11.25
11.26
Instagram @4book_orgFacebookTelegramTikTok
↑ Ми в соцмережах ↑
  • ПРО ПРОЕКТ
  • ЯК СКАЧАТИ-ЧИТАТИ
  • ПОЛІТИКА КОНФІДЕНЦІЙНОСТІ
  • КОНТАКТИ
  • АВТОРАМ

Матеріали сайту (підручники в PDF, ГДЗ, решебники до робочих зошитів) мають авторські права та будь-яке копіювання можливе лише за згодою авторів.
Розміщення будь-якої інформації, що порушує авторське право, суворо заборонено!

Copyright © 2010-2026 4book.org - підручники (учебники), ГДЗ, решебники, відповіді (ответы) к робочим зошитам. Розв'язники к контрольним онлайн - це електронна бібліотека навчальних матеріалів 4бук.