Пошук
Підручники
1 клас
2 клас
3 клас
4 клас
5 клас
6 клас
7 клас
8 клас
9 клас
10 клас
11 клас
ГДЗ
1 клас
2 клас
3 клас
4 клас
5 клас
6 клас
7 клас
8 клас
9 клас
10 клас
11 клас
ДПА
4 клас
9 клас
11 клас
ЗНО
РЕФЕРАТИ
Підручники, ГДЗ, розв’язники
Підручники
1 клас
2 клас
3 клас
4 клас
5 клас
6 клас
7 клас
8 клас
9 клас
10 клас
11 клас
ГДЗ
1 клас
2 клас
3 клас
4 клас
5 клас
6 клас
7 клас
8 клас
9 клас
10 клас
11 клас
ДПА
4 клас
9 клас
11 клас
ЗНО
ТВОРИ
Англійська мова (English)
Біологія
Зарубіжна література
Українська література
Українська мова
Французька мова
Я у світі
Обери свій клас
1
2
3
4
5
6
7
8
9
10
11
/
Підручники
/
8 клас
/
Алгебра
/
Підручник Алгебра 8 клас Мальований 2016
Назад
Підручник Алгебра 8 клас Мальований 2016
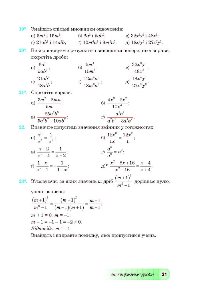
§1. Раціональні дроби
1.1. Раціональні вирази - 1.4. Множення і ділення раціональних дробів
Назад до сторінці
20
Вперед до сторінці
22
Сторінка
Назад до сторінці
20
Вперед до сторінці
22
Сторінка