Пошук
Підручники
1 клас
2 клас
3 клас
4 клас
5 клас
6 клас
7 клас
8 клас
9 клас
10 клас
11 клас
ГДЗ
1 клас
2 клас
3 клас
4 клас
5 клас
6 клас
7 клас
8 клас
9 клас
10 клас
11 клас
ДПА
4 клас
9 клас
11 клас
ЗНО
РЕФЕРАТИ
Підручники, ГДЗ, розв’язники
Підручники
1 клас
2 клас
3 клас
4 клас
5 клас
6 клас
7 клас
8 клас
9 клас
10 клас
11 клас
ГДЗ
1 клас
2 клас
3 клас
4 клас
5 клас
6 клас
7 клас
8 клас
9 клас
10 клас
11 клас
ДПА
4 клас
9 клас
11 клас
ЗНО
ТВОРИ
Англійська мова (English)
Біологія
Зарубіжна література
Українська література
Українська мова
Французька мова
Я у світі
Обери свій клас
1
2
3
4
5
6
7
8
9
10
11
/
Підручники
/
10 клас
/
Математика
/
Математика 10 клас Мерзляк 2018 (Укр.)
Назад
Математика 10 клас Мерзляк 2018 (Укр.)
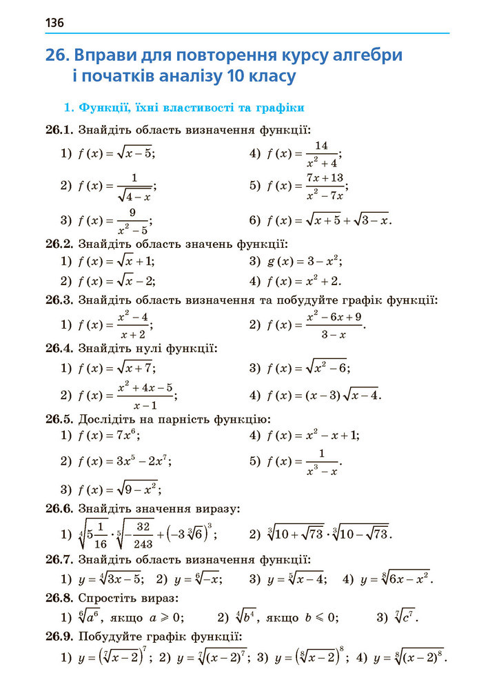
26. Вправи для повторення курсу алгебри
Назад до сторінці
135
Вперед до сторінці
137
Сторінка
Назад до сторінці
135
Вперед до сторінці
137
Сторінка
СХОЖІ ГДЗ І ПІДРУЧНИКИ
Математика 10 класс Мерзляк 2018 (Рус.)